Home
Gliders
Tags
Select Mission
Mission 68 Belling 2025
Mission 67 PICCOLO
Mission 66 Oban 2023
Mission 65 P2P
Mission 64 TARSAN
Mission 63 Mallorca trials
Mission 62 Oban2021
Mission 61 SSR
Mission 60 Eurec4a
Mission 59 Bellingshausen
Mission 58 ROAM-MIZ
Mission 57 North Sea pH
Mission 56 Autonaut Trials
Mission 55 FSC 2019
Mission 54 ELO
Mission 53 Caltech Backup
Mission 52 ObanTrials2 18
Mission 51 PS118
Mission 50 Bellingshausen
Mission 49 Bransfield stra
Mission 48 Oban trials 18
Mission 47 AlterEcoMay18
Mission 46 AlterEcoFeb18
Mission 45 POETS-P3
Mission 44 MerMEED
Mission 43 AlterEco
Mission 42 N-REP17
Mission 41 MASSMO 4
Mission 40 Glider ATSC
Mission 39 Glider ATSC
Mission 38 Glider ATSC
Mission 37 Glider ATSC
Mission 36 Glider ATSC
Mission 35 Glider ATSC
Mission 34 Glider ATSC
Mission 33 Glider ATSC
Mission 32 Glider ATSC
Mission 31 BoBBLE
Mission 30 Boussole
Mission 29 Oman 3
Mission 28 Whittard Canyon
Mission 27 Oban Microstruc
Mission 26 Oman 2
Mission 25 Oman
Mission 24 CalTech Weddell
Mission 23 FSC
Mission 22 Irish Acoustics
Mission 21 REP14
Mission 20 PLOCAN trials 2
Mission 19 Ocean2Ice
Mission 18 PLOCAN trials 1
Mission 17 JONSIS Line
Mission 16 SG533 Drift
Mission 15 Oban trials
Mission 14 OSMOSIS
Mission 13 OSMOSIS
Mission 12 VIMS Ross Sea
Mission 11 OSMOSIS
Mission 10 OSMOSIS
Mission 9 Gentoo
Mission 8 Tropical DISGO
Mission 7 North Sea Hypox
Mission 6 North Sea Test
Mission 5 Ross Sea
Mission 4 Vigo
Mission 3 Oban
Mission 2 Test2
Mission 1 Test
SG621 Select Dive
Dive 332
Dive 331
Dive 330
Dive 329
Dive 328
Dive 327
Dive 326
Dive 325
Dive 324
Dive 323
Dive 322
Dive 321
Dive 320
Dive 319
Dive 318
Dive 317
Dive 316
Dive 315
Dive 314
Dive 313
Dive 312
Dive 311
Dive 310
Dive 309
Dive 308
Dive 307
Dive 306
Dive 305
Dive 304
Dive 303
Dive 302
Dive 301
Dive 300
Dive 299
Dive 298
Dive 297
Dive 296
Dive 295
Dive 294
Dive 293
Dive 292
Dive 291
Dive 290
Dive 289
Dive 288
Dive 287
Dive 286
Dive 285
Dive 284
Dive 283
Dive 282
Dive 281
Dive 280
Dive 279
Dive 278
Dive 277
Dive 276
Dive 275
Dive 274
Dive 273
Dive 272
Dive 271
Dive 270
Dive 269
Dive 268
Dive 267
Dive 266
Dive 265
Dive 264
Dive 263
Dive 262
Dive 261
Dive 260
Dive 259
Dive 258
Dive 257
Dive 256
Dive 255
Dive 254
Dive 253
Dive 252
Dive 251
Dive 250
Dive 249
Dive 248
Dive 247
Dive 246
Dive 245
Dive 244
Dive 243
Dive 242
Dive 241
Dive 240
Dive 239
Dive 238
Dive 237
Dive 236
Dive 235
Dive 234
Dive 233
Dive 232
Dive 231
Dive 230
Dive 229
Dive 228
Dive 227
Dive 226
Dive 225
Dive 224
Dive 223
Dive 222
Dive 221
Dive 220
Dive 219
Dive 218
Dive 217
Dive 216
Dive 215
Dive 214
Dive 213
Dive 212
Dive 211
Dive 210
Dive 209
Dive 208
Dive 207
Dive 206
Dive 205
Dive 204
Dive 203
Dive 202
Dive 201
Dive 200
Dive 199
Dive 198
Dive 197
Dive 196
Dive 195
Dive 194
Dive 193
Dive 192
Dive 191
Dive 190
Dive 189
Dive 188
Dive 187
Dive 186
Dive 185
Dive 184
Dive 183
Dive 182
Dive 181
Dive 180
Dive 179
Dive 178
Dive 177
Dive 176
Dive 175
Dive 174
Dive 173
Dive 172
Dive 171
Dive 170
Dive 169
Dive 168
Dive 167
Dive 166
Dive 165
Dive 164
Dive 163
Dive 162
Dive 161
Dive 160
Dive 159
Dive 158
Dive 157
Dive 156
Dive 155
Dive 154
Dive 153
Dive 152
Dive 151
Dive 150
Dive 149
Dive 148
Dive 147
Dive 146
Dive 145
Dive 144
Dive 143
Dive 142
Dive 141
Dive 140
Dive 139
Dive 138
Dive 137
Dive 136
Dive 135
Dive 134
Dive 133
Dive 132
Dive 131
Dive 130
Dive 129
Dive 128
Dive 127
Dive 126
Dive 125
Dive 124
Dive 123
Dive 122
Dive 121
Dive 120
Dive 119
Dive 118
Dive 117
Dive 116
Dive 115
Dive 114
Dive 113
Dive 112
Dive 111
Dive 110
Dive 109
Dive 108
Dive 107
Dive 106
Dive 105
Dive 104
Dive 103
Dive 102
Dive 101
Dive 100
Dive 99
Dive 98
Dive 97
Dive 96
Dive 95
Dive 94
Dive 93
Dive 92
Dive 91
Dive 90
Dive 89
Dive 88
Dive 87
Dive 86
Dive 85
Dive 84
Dive 83
Dive 82
Dive 81
Dive 80
Dive 79
Dive 78
Dive 77
Dive 76
Dive 75
Dive 74
Dive 73
Dive 72
Dive 71
Dive 70
Dive 69
Dive 68
Dive 67
Dive 66
Dive 65
Dive 64
Dive 63
Dive 62
Dive 61
Dive 60
Dive 59
Dive 58
Dive 57
Dive 56
Dive 55
Dive 54
Dive 53
Dive 52
Dive 51
Dive 50
Dive 49
Dive 48
Dive 47
Dive 46
Dive 45
Dive 44
Dive 43
Dive 42
Dive 41
Dive 40
Dive 39
Dive 38
Dive 37
Dive 35
Dive 34
Dive 33
Dive 32
Dive 31
Dive 30
Dive 29
Dive 28
Dive 27
Dive 26
Dive 25
Dive 24
Dive 23
Dive 22
Dive 21
Dive 20
Dive 19
Dive 18
Dive 17
Dive 16
Dive 15
Dive 14
Dive 13
Dive 12
Dive 11
Dive 10
Dive 9
Dive 8
Dive 7
Dive 6
Dive 5
Dive 4
Dive 3
Dive 2
Dive 1
SG620 Select Dive
Dive 117
Dive 116
Dive 115
Dive 114
Dive 113
Dive 112
Dive 111
Dive 110
Dive 109
Dive 108
Dive 107
Dive 106
Dive 105
Dive 104
Dive 103
Dive 102
Dive 101
Dive 99
Dive 98
Dive 97
Dive 96
Dive 95
Dive 94
Dive 93
Dive 92
Dive 91
Dive 90
Dive 89
Dive 88
Dive 87
Dive 86
Dive 85
Dive 84
Dive 83
Dive 82
Dive 81
Dive 80
Dive 79
Dive 78
Dive 77
Dive 76
Dive 75
Dive 74
Dive 73
Dive 72
Dive 71
Dive 70
Dive 69
Dive 68
Dive 67
Dive 66
Dive 65
Dive 64
Dive 63
Dive 62
Dive 61
Dive 60
Dive 59
Dive 58
Dive 57
Dive 56
Dive 55
Dive 54
Dive 53
Dive 52
Dive 51
Dive 48
Dive 47
Dive 46
Dive 45
Dive 44
Dive 43
Dive 42
Dive 41
Dive 40
Dive 39
Dive 38
Dive 37
Dive 36
Dive 35
Dive 34
Dive 33
Dive 32
Dive 31
Dive 30
Dive 29
Dive 28
Dive 27
Dive 26
Dive 25
Dive 24
Dive 23
Dive 22
Dive 21
Dive 20
Dive 19
Dive 18
Dive 17
Dive 16
Dive 15
Dive 14
Dive 13
Dive 12
Dive 11
Dive 10
Dive 9
Dive 8
Dive 7
Dive 6
Dive 5
Dive 4
Dive 3
Dive 2
Dive 1
Register
Login
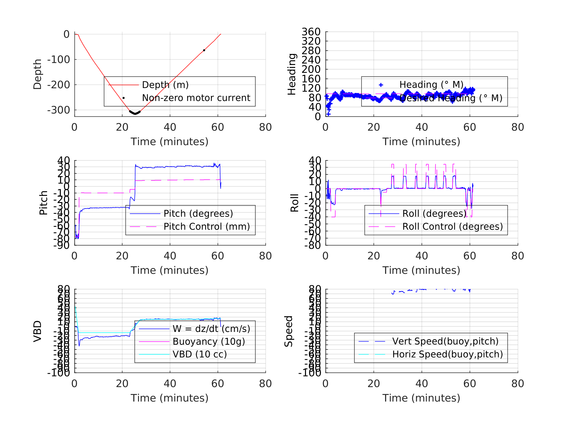
Dive 48 by SG620 on Mission 50
Bathymetry at post dive location:
-522.0 m
prev dive
glider status
science
science_python
mission page
next dive